深圳联考中国港澳台联考学校:警惕!港澳台联考志愿填报这三大“隐形坑”,每年都有考生中招!(附近三年联考分数线)
2025-06-07
港澳台联考作为港澳台侨生升读内地高校的重要通道,其志愿填报规则复杂且竞争激烈。然而,每年仍有大量考生因忽视细节踩入“隐形坑”,导致高分低就甚至滑档落榜。本文深度剖析三大高频误区,结合真实案例与数据,为考生提供避坑指南。

现象:部分考生执着于985/211院校,却未注意目标院校对单科成绩的硬性要求,例如,浙江师范大学,港澳台侨联合招生的考生若报考汉语国际教育专业、英语专业或日语专业,要求外语单科成绩不低于85分。
北京师范大学-香港浸会大学联合国际学院的外国语文学史(中外合作办学)、英语、翻译专业,英语单科成绩不低于100分,若未提前核查,即使总分达标也可能被退档。
避坑策略:
1. 提前查阅招生简章:重点关注目标院校对英语、数学等核心科目的单科要求。
2. 建立“专业-单科”对照表:将目标院校及专业的单科要求整理成表格,填报时逐一核对。
3. 合理评估自身优势:若单科存在短板,优先选择无单科限制的院校或专业,如暨南大学、深圳大学部分专业。
现象:考生志愿填报缺乏层次感,要么“冲”得过高导致全军覆没,要么“保”得保守浪费分数。
2024年联考数据显示,大部分滑档考生因志愿梯度不合理,因为“冲”院校过多(≥5所)而滑档。
部分考生合理设置“冲3+稳3+保2”梯度,最终录取院校与分数匹配度高。

避坑策略:
1. 科学分配志愿比例
冲刺档(1-3所):选择比自身分数高5-10分的院校,专业需接受调剂。
稳妥档(3-4所):选择与自身分数匹配的院校,专业选择余地较大。
保底档(2-3所):选择比自身分数低10-20分的院校,确保录取底线。
2. 参考历年录取数据:
通过院校官网、教育考试院官网查询近三年录取分数线及排位,避免盲目填报。
3. 避免“同质化”填报:
同一梯度内院校需拉开层次,例如冲刺档可同时选择北京邮电大学(计算机)和华南理工大学(电子信息)。
现象:部分考生将预科视为“保底神器”,却未预估预科转正竞争压力,导致预科毕业后无法升入本科。
避坑策略:
1. 理性看待预科价值:预科适合分数接近本科线但未达标的考生,而非“保底”工具。例如,总分420分以下的考生可考虑华侨大学、集美大学预科。
2. 预判转正难度:查询目标预科院校的历年转正率,优先选择转正率≥70%的院校。
了解预科结业考试科目及难度,例如暨南大学预科A班学生需通过所有科目考试且无违纪记录方可升入本科,否则面临复读或留学选择。
3. 备选“本科+预科”组合:在本科批次填报保底院校的同时,将预科作为独立批次填报,避免将全部希望寄托于预科。

1. 查院校资质:确认目标院校是否具备港澳台联考招生资格,警惕“野鸡大学”。
2. 查专业限制:核实目标专业是否对单科成绩、体检结果有特殊要求。
3. 查录取规则:了解目标院校是“分数优先”还是“志愿优先”,避免因规则不熟导致退档。
4. 核分数排位:将自身分数与目标院校近三年录取排位对比,确保安全边际。
5. 核志愿顺序:填报后打印志愿表,逐一核对院校代码、专业名称及调剂选项。
6. 核联系方式:确保报名系统中填写的电话、邮箱畅通,避免错过录取通知。
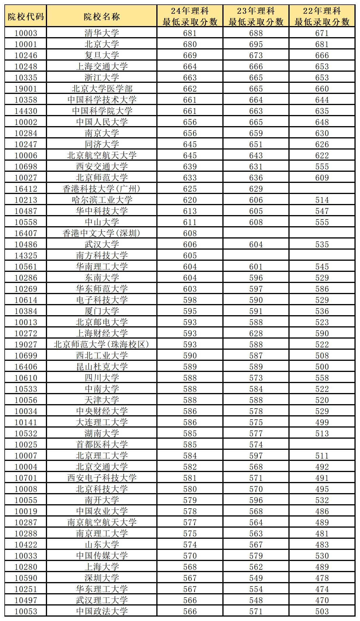
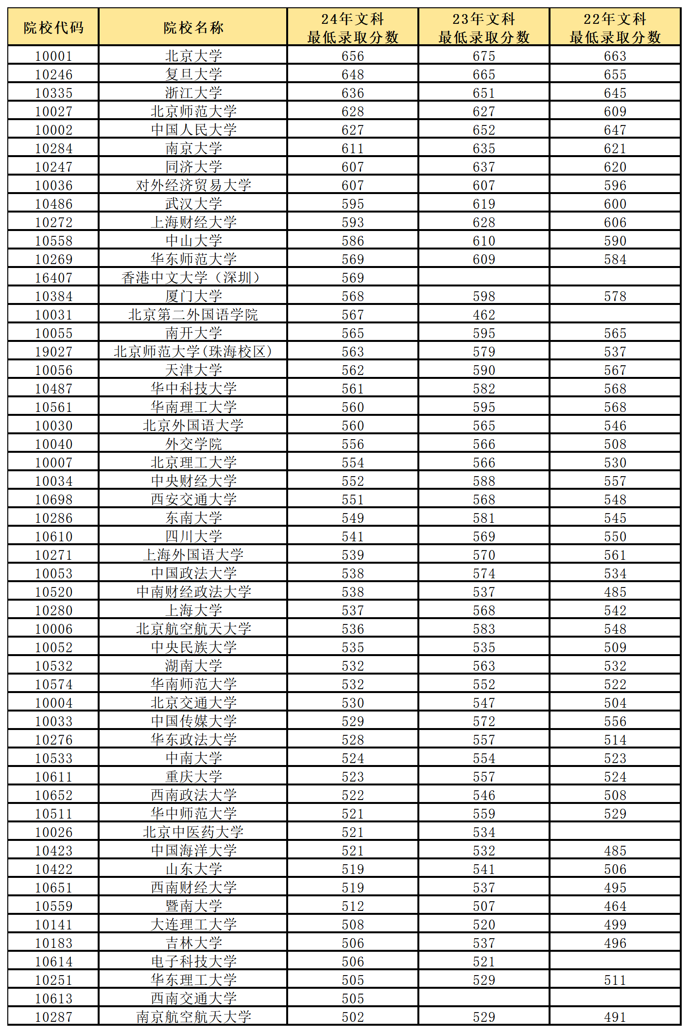
部分联考院校近三年录取分数线

今天的港澳台侨联考资讯就先分享到这里了,想要了解更多的港澳台侨联考问题,欢迎拨深圳联考中国港澳台联考学校:佳佳老师(联考中国)18922873397

扫码添加老师咨询详情